GB/T 25915《潔凈室及相關受控環境-1:空氣潔凈度等級》發布,3月1日起實施
- 2023-02-07
- 5937
- 深圳市億天凈化技術有限公司
近日,國家標準委發布了GB/T 25915.1-2021《潔凈室及相關受控環境-1:空氣潔凈度等級》,該文件修改采用ISO 14644-1 :2015《 潔凈室及相關受控環境第1 部分: 按粒子濃度劃分空氣潔凈度等級》,將代替 GB/T 25915 .1-2010 《潔凈室及相關受控環境第1部分:空氣潔凈度等級》,于2022年3月1日實施!
文件解讀如下:
關于潔凈度測試采樣點數量的要求,文件刪除基于面積計算采樣點數的計算公式,而是預先給定一張針對不同房間面積所對應的采樣點數的表格:

對于房間面積≥636平方(ISO14644:2015為>1000平方)的,通過下列公式計算(公式與ISO14644:2015不同):
刪除對粒濃度進行UCL/LCL計算的要求
文件給出了確定單次采樣量和各點的采樣時間的方法:所選最大粒徑的粒子濃度恰好為規定的ISO 級別上限時,在各采樣點所采的空氣量足以檢測到至少20個粒子。每個采樣點的單次采樣量VS,按公式(A.2)計算。
每一采樣點的采樣量至少為2L,每一采樣點單次采樣的最小采樣時間為1 min,每一采樣點的每次采樣量應一致。
刪除ISO 5(A級)5.0um粒子的限度標準:

關于監測儀器(粒子計數器),要求按照GB/T 29024.4-2017(等同采用ISO 21501-4:2007,而ISO最新版本為ISO 21501-4:2018)進行校準。
文件將于2022年3月1日實施。
全文如下:

1范圍
本文件規定了按空氣中懸浮粒子濃度劃分潔凈室、潔凈區、GB/T25915.7 所述的隔離裝置中的空氣潔凈度等級。
本文件適用于粒徑擋下限為0.1μm~5μm 的顆粒物累積計數分布及其粒子濃度的監測。
超細粒子(5μm)的粒子濃度,用 M 描述符對其量化。
本文件不適用于表征空氣懸浮粒子的物理性、化學性、放射性、生物活性或其他特性。
2規范性引用文件
下列文件中的內容通過文中的規范性引用而構成本文件必不可少的條款。其中,注日期的引用文件,僅該日期對應的版本適用于本文件;不注日期的引用文件,其最新版本(包括所有的修改單)適用于本文件。
3術語和定義
下列術語和定義適用于本文件。
3.1 基本
3.1.1
潔凈室 cleanroom
空氣懸浮粒子濃度受控并分級的房間,其設計、建造到運行均使進入、產生、滯留于房間的粒子受控。
注1:規定了按空氣懸浮粒子濃度劃分的級別。
注2:也可對影響潔凈度等級的其他因素,如空氣中化學物、微生物或納米尺度粒子濃度等,以及影響表面潔凈度等
級的其他因素,如粒子、納米粒子、化學物或微生物濃度等,作出規定并進行控制。
注3:溫度、濕度、壓力、振動和靜電等相關的物理參數,也可按要求受控。
3.1.2
潔凈區 cleanzone
空氣懸浮粒子計數濃度受控并分級的限定空間。其建造和運行使進入、產生和滯留于空間的粒子受控。
注1:空氣懸浮粒子濃度的級別已確定。
注2:也可對影響潔凈度等級的其他因素,如空氣中化學物、微生物或納米尺度粒子濃度等,以及影響表面潔凈度等
級的其他因素,如粒子、納米粒子、化學物或微生物濃度等,作出規定并進行控制。
注3:潔凈區可以是限定于潔凈室內的空間,也可用隔離裝置實現。隔離裝置既可設在潔凈室內也可在潔凈室外。
注4:溫度、濕度、壓力、振動和靜電等相關的物理參數,也可按要求受控。
3.1.3
設施 instalation
連同所有相關構筑物、空氣處理系統、供給和公用設施的潔凈室或一個、多個潔凈區。
3.1.4
分級 classification
按技術要求評定潔凈室或潔凈區潔凈度水平的方法。
注:潔凈度水平應以ISO 等級濃度來描述,它代表單位容積空氣內最大允許粒子濃度。
3.2空氣懸浮粒子
3.2.1
粒子 particle
具有規定物理邊界的微小物質。
3.2.2
粒徑 particlesize
給定粒徑測定儀測得的、與被測粒子響應量相當的球體直徑。
注:光散射離散粒子計數儀給出的是光學等效直徑。
3.2.3
粒子濃度 particleconcentration
單位體積空氣中粒子的個數。
3.2.4
粒徑分布 particlesizedistribution
以累積分布表示的粒子濃度與粒徑的函數關系。
3.2.5
大粒子 macroparticle
當量直徑大于5μm 的粒子。
3.2.6
M描述符 Mdescriptor
實測或規定的每立方米空氣中大粒子濃度,其中的當量粒徑與測量方法有關。
注:M 描述符可視作采樣點平均值的上限。不能用M 描述符表示ISO 潔凈度等級,但 M 描述符可以單獨引用或與ISO 潔凈度等級一起引用。
3.2.7
單向流 unidirectionalairflow
通過潔凈室或潔凈區整個斷面,風速穩定且平行的受控氣流。
3.2.8
非單向流 non-unidirectionalairflow
潔凈室或潔凈區的送風以誘導方式與室內空氣混合的氣流分布。
3.3占用狀態
3.3.1
空態 as-built
潔凈室或潔凈區所有服務設施就位并運行,但無設備、家具、材料和人員的狀態。 3.3.2
靜態 at-rest
潔凈室或潔凈區建成且設備就位,按議定的方式運行,但無人員在場的狀態。
3.3.3
動態 operational
潔凈室或潔凈區設施按議定方式運行,且有規定數量的人員按議定方式工作的狀態。
3.4 檢測儀器
3.4.1
分辨率 resolution
可被測量的最小變量,即在相應顯示中產生的、可辨認的變化。
注:噪聲(內、外部)或摩擦等因素可決定分辨率,被測的量值也可決定分辨率。
[來源:ISO/IEC Guide99:2007,4.14]
3.4.2
最大允許測量誤差 maximum permissiblemeasurement error
對一項具體測量、或對測量儀或測量系統,相對于已知參照量值,技術條件或規范所允許的測量誤差極值。
注1:在有兩個極限值時,通常用術語“最大允許誤差”或“誤差限值”予以區分。
注2:“公差”不可用于表示“最大允許誤差”。
[來源:ISO/IEC Guide99:2007,4.26]
3.5儀器規格
3.5.1
光散射(離散式)空氣懸浮粒子計數器 light scattering(discrete)airborne particle counter; LSAPC
依據粒子的光學等效直徑,對空氣中單個粒子進行計數和測徑的儀器。
注:GB/T29024.4—2017給出了LSAPC 的規格。
3.5.2
離散大粒子計數器 discrete-macroparticlecounter
能夠對空氣中單個大粒子計數和測徑的儀器。
注:其技術規格見附錄F中表F.1。
3.5.3
飛行時間測徑儀 time-of-flightparticlesizingapparatus
以粒子適應風速變化的時間來測定其空氣動力學直徑的離散粒子計數、測徑裝置。
注1:通常借助光學方法測量流體速度變化后粒子的移動時間。
注2:其技術規格見表F.2。
4分級
4.1占用狀態
應規定在“空態”“靜態”和“動態”的某種或某幾種占用狀態下(見3.3),對潔凈室或潔凈區按空氣中粒子濃度進行分級。
4.2粒徑
當按粒子濃度劃分空氣潔凈度等級時,范圍為0.1μm~5μm 的一個或幾個粒徑擋閾值(低值)。
4.3 ISO等級數
按粒子濃度劃分的空氣潔凈度應標識為ISO N 級。每個關注粒徑的最大允許濃度見表1。
表1中不同粒徑閾值的粒子濃度數目僅作為分級標準,并不反映空氣中真實的粒徑和數量分布。
附錄B 中列舉了幾個分級計算實例。
表1 按粒子濃度劃分的空氣潔凈度ISO級別

4.4 表示方法
潔凈室或潔凈區內懸浮粒子濃度的表示方法應包括:
a) 以“ISO N 級”表示的ISO 等級數;
b) 分級時的占用狀態;
c) 關注粒徑。
如果關注粒徑不止一個,較大粒徑(D2)應至少是下個較小粒徑(D1)的1.5 倍,即D2≥1.5×D1。
示例見表2。
表2 關注粒徑示例表
4.5 非整數潔凈度等級和粒徑閾值
當需要非整數等級,或整數和非整數等級需要表1中未列出的粒徑擋時,見附錄E。
5 符合性的證明
5.1 原則
完成規定的檢測程序,并提供檢測條件和結果的相關文件,以此認證是否符合用戶規定的空氣潔凈度(ISO 等級數)要求。
靜態和動態的分級通常依據風險評估情況每年進行。
對潔凈室、潔凈區和隔離裝置的監測,應按照GB/T25915.2—2021。
注:設施配備了連續或頻繁監測粒子濃度和其他性能參數的儀器時,若監測結果保持在規定的監測限值內,分級檢測時間間隔可以延長。
5.2 檢測
附錄 A 中給出了符合性檢測的基準方法,也可以指定其他至少具備同等準確性的方法和(或)儀器。如無規定或議定的替代方法,應采用基準方法。
應采用校準有效期內的儀器進行符合性認證檢測。
5.3 懸浮粒子濃度計算
按附錄A 完成檢測后,每個采樣點單次采樣量的粒子濃度(以每立方米的粒子數目表示)不應超過表1中相應粒徑的濃度限值或表E.1中相應粒徑的非整數等級的濃度限值。如果在采樣點進行了多次采樣,濃度應取平均值并且平均濃度不得超過表1或表E.1給出的濃度限值。非表列粒徑應由公式(E.1)計算得出。
為確定ISO 等級,所有關注粒徑粒子濃度應采用相同方法檢測。
5.4 檢測報告
各潔凈室或潔凈區的檢測結果均應記錄在案,以綜合報告形式提交,并說明是否符合規定的按粒子濃度劃分的空氣潔凈度等級。
檢測報告應包括下述內容:
檢測機構的名稱、地址和檢測完成的日期;
本文件編號,如 ;
清楚地標明被測潔凈室或潔凈區的實際位置(必要時包括毗鄰的參照區)及所有采樣點的坐標(宜附圖);
規定的潔凈室或潔凈區表示法,其中包括ISO 等級數、相關的占用狀態和關注粒徑;
檢測方法的詳細說明,包括與檢測有關的特殊條件或對檢測方法的偏離情況,及檢測儀器的型號標識和當前的校準證書;
檢測結果,含全部采樣點的粒子濃度數據;
如果大粒子的濃度已參照附錄C 的說明作了量化,相關的信息也應包含在檢測報告中。
附 錄 A
(規范性)
按粒子濃度劃分空氣潔凈度的基準方法
A.1 原理
使用離散粒子計數器在指定的采樣點測定大于或等于規定粒徑的空氣懸浮粒子濃度。
A.2 儀器要求
A.2.1 粒子計數器
粒子計數器應具有粒徑分辨能力,能顯示或記錄空氣中粒子數量和粒徑大小,可依據潔凈度等級,測定粒子合適粒徑范圍內總濃度。
注:通常用光散射(離散)空氣懸浮粒子計數器進行空氣潔凈度分級檢測。
A.2.2 儀器校準
粒子計數器應有有效的校準證書,校準頻度和校準方法應符合GB/T 29024.4—2017的要求。
注:某些粒子計數器不能用GB/T29024.4—2017所規定方法校準。此情況下,檢測報告中應記錄使用該計數器的決定。
A.3 粒子計數檢測的準備工作
檢測前,確保潔凈室或潔凈區密封性相關的所有各項均已調試完成并按性能要求運行。
宜注意潔凈室性能輔助檢測的順序,檢測目錄見GB/T25915.3。
A.4 確定采樣點
A.4.1 獲取采樣點數目
最少數目采樣點NL 見表 A.1。
表A.1 潔凈室中采樣點數目與面積的關系

A.4.2 確定采樣點位置
按以下步驟確定采樣點位置:
在表A.1 查到最小采樣點數目 NL ;
將整個潔凈室或潔凈區分成面積相等的NL 個區域;
在每個區域選擇一個具有代表性的位置作為采樣位置;
在每個采樣位置上,將粒子計數器的探頭置于工作面高度或其他指定位置。
關鍵位置處可增加采樣點,其數量和位置也應商定并說明。
增加的采樣區域及其相應采樣點可計算在總采樣點數內,以便將潔凈室或潔凈區劃分為相等采樣區域。
非單向流潔凈室或潔凈區中,位于無擴散裝置的送風口正下方的采樣點不具有代表性。
A.4.3 大型潔凈室或潔凈區的采樣點
當潔凈室或潔凈區的面積大于636 m2時,應按公式(A.1)算出最小采樣點數目。
A.4.4 確定單次采樣量和各點的采樣時間
所選最大粒徑的粒子濃度恰好為規定的ISO 級別上限時,在各采樣點所采的空氣量足以檢測到至少20個粒子。
每個采樣點的單次采樣量VS,按公式(A.2)計算。
每一采樣點的采樣量至少為2L,每一采樣點單次采樣的最小采樣時間為1 min,每一采樣點的每次采樣量應一致。
當VS 很大時,所需采樣時間較長。此時可采用序貫采樣法(見附錄D)以減少所需的采樣量及采樣時間。
A.5 采樣步驟
A.5.1 依據產品說明書調整粒子計數器(見A.2),包括零計數率校核。
A.5.2 采樣探頭應放置在朝向氣流的方向。被采樣氣流方向是不可控制或不可預測時(例如非單向氣流),采樣探頭的開口應垂直向上。
A.5.3 確定采樣前所選定的占用狀態已達到規定條件。
A.5.4 按 A.4.4中規定的每個采樣點單次最小采樣量進行采樣。
A.5.5 某個采樣點發現非正常情況引起的異常計數時,經驗明后可以剔除該計數并在檢測報告中予以說明,然后重新采樣。
A.5.6 某個采樣點的不合格計數是由潔凈室或設備的技術故障引起時,宜查明原因,采取補救措施,并對該點及其周圍相鄰點或受其影響的其他采樣點進行復測。此情況應清楚地記錄并說明合理性。
A.6 結果處理
A.6.1 結果記錄
記錄每次采樣測量的結果,即相應ISO 空氣潔凈度等級所關注粒徑的每個單次采樣量中粒子數。
注:對于帶有濃度計算模式的粒子計數器,無需手動計算。
A.6.1.1 每個采樣點的平均粒子濃度
在某個點進行兩次及以上采樣時,依據各單次采樣的粒子濃度,按公式(A.3)計算并記錄該點關注粒徑的平均粒子數目。
A.6.1.2 單位立方米粒子濃度
單位立方米粒子濃度按公式(A.4) 計算。
A.6.2 結果說明
A.6.2.1 分級要求
每一采樣位置測量的粒子濃度(粒/m3)均不超過表1 規定的濃度限值時,判定所測潔凈室或潔凈區符合規定空氣潔凈度級別要求。
使用附錄E 所述的非整數潔凈度等級或其他非規定測試粒徑時,宜使用表E.1或公式(E.1)確定適當限值。
A.6.2.2 不合格的異常結果
對不合格計數的情形,應進行調查。檢測報告中應注明調查結果和所采取的補救措施(見5.4)。
附 錄 B
(資料性)
等級劃分計算實例
B.1 示例1
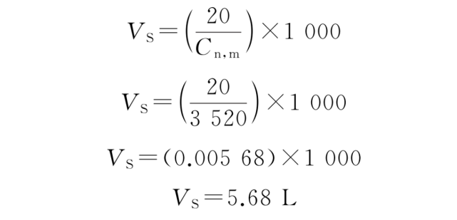
B.1.1 某個潔凈室占地面積18 m2,規定潔凈度級別為動態ISO5 級。使用采樣流量為28.3L/min的離散粒子計數器進行分級測試。2 個關注粒徑分別為:D≥0.3μm 和D≥0.5μm。
查表 A.1,采樣點數NL 為6。
B.1.2 從表1查得ISO5級的粒子濃度限值為:
B.1.3 用公式(A.2)可計算出所需的單次采樣量為:

算得的單次采樣量為5.68L。由于所使用的離散粒子計數器每分鐘的采樣流量是28.3L/min,采樣1 min的采樣量符合要求(見A.4.4),所以每次采樣的采樣量定為28.3L。
注:在A.4.4 中,通過如上所述的步驟計算最小采樣量,然后確定粒子計數器運行1 min 對應的采樣量。每個點的采樣至少持續1 min;當1 min內的采樣足以滿足最小采樣量要求時,則1 min 到后可結束采樣。 當所用儀器 1 min內的采樣量不足以滿足最小采樣量要求時,需以分鐘(min)為單位繼續采樣且至滿足最小采樣量要求為止。由于有幾種不同采樣流量的粒子計數器,在此提醒使用者,在確定采樣時間既滿足1 min 要求也滿足計算的最小采樣量時,核對所用具體儀器的采樣流量。
B.1.4 每個點只進行一次采樣。在每個采樣點處各個粒徑對應的每立方米粒子數目xi 的計算如表B.1和表B.2所示。
表 B.1 ≥0.3 μm 粒子的采樣數據

表 B.2 ≥0.5 μm 粒子的采樣數據

B.1.5 如表B.1和表B.2所示,D≥0.5μm 粒子的每一個濃度值都小于10200個/m3 的限值,D≥0.5μm的每一個濃度值都小于3520 個/m3 的限值;因此該潔凈室按粒子濃度劃分的空氣潔凈度達到所要求的ISO 等級。
B.2 示例2
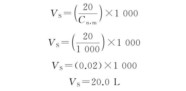
B.2.1 某個潔凈室占地面積9 m2,潔凈度級別規定為動態ISO3 級,使用采樣流量為50.0L/min的離散粒子計數器進行分級測試。關注粒徑只有一個(D≥0.1μm)。
查表 A.1,采樣點數NL 取5。
B.2.2 從表1 查得ISO3 級對應≥0.1μm 的粒子濃度限值為:
B.2.3 從公式(A.2)可算出單次采樣量要求為:

計算得出的單次采樣量為20.0L,因此所使用的50.0L/min的離散粒子計數器采樣1 min 的采樣量符合要求(見 A.4.4)。所以50.0L 即作為每個單次采樣的采樣量。
B.2.4 在每個采樣點只采樣一次。每個采樣點每立方米的粒子數目xi 的計算如表B.3 所示。
表B.3 ≥0.1μm粒子的采樣數據

B.2.5 D≥0.1μm 粒子的每個濃度值都小于表1 中規定的1000 個/m3 的限值;因此該潔凈室按粒子濃度劃分的空氣潔凈度達到所要求的ISO 等級。
B.3 示例3
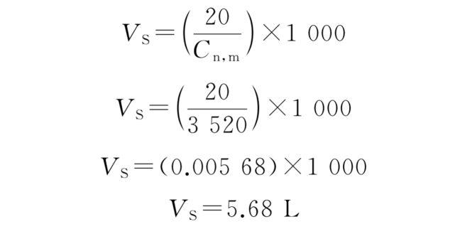
B.3.1 某一個潔凈室占地面積64 m2,潔凈度級別規定為動態ISO5 級,使用采樣流量為28.3L/min的離散粒子計數器進行分級測試。關注粒徑只有一個(D≥0.5μm)。
查表 A.1,采樣點數NL 取12。
B.3.2 從表1 查得ISO5 級對應≥0.5μm 的粒子濃度限值為:
B.3.3 從公式(A.2)可算出所要求的單次采樣量為:

計算出的單次采樣量為5.68L。由于所用的28.3L/min 離散粒子計數器1 min 的采樣量符合要求(見A.4.4),所以將28.3L 即作為每個單次采樣的采樣量。
B.3.4 在每個采樣點只采樣一次。每個采樣點每立方米的粒子數xi 的計算如表B.4 所示。
表 B.4 ≥0.5 μm 粒子的采樣數據

B.3.5 D=0.5μm 粒子的每個濃度值都小于表1 中規定的3520 個/m3 的限值;因此該潔凈室按粒子濃度劃分的空氣潔凈度達到所要求的ISO 等級。
B.4 示例4
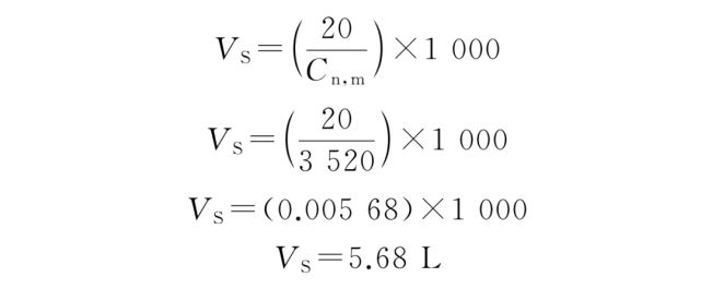
B.4.1 某個潔凈室占地面積25 m2,潔凈度級別規定為動態ISO5 級,使用采樣流量為28.3L/min 的離散粒子計數器進行分級測試。關注粒徑只有一個(D≥0.5μm)。
查表 A.1,采樣點數NL 取7。
B.4.2 從表1 查得ISO5 級對應≥0.5μm 的粒子濃度限值為:
B.4.3 從公式(A.2)可算出所要求的單次采樣量為:

算出的單次采樣量為5.68L。由于所用的28.3L/min 離散粒子計數器1 min 的采樣量符合要求(見A.4.4),所以將28.3L 即作為每個單次采樣的采樣量。
B.4.4 查表A.1,采樣點數NL 取7。但在本例中,客戶和供應商商定另外增加3個采樣點,總共10個。
每個點進行的單次采樣次數為1次~3次。
B.4.5 由于記錄的原因,每個采樣點每立方米的粒子數(濃度)xi 將以每個點單位采樣量(28.3L)的平均計數(28.3×35.3)進行計算,如表B.5所示。
表B.5 ≥0.5μm粒子的采樣數據

B.4.6 在4 號采樣點,采樣的平均濃度4165 個/m3 超出了ISO5 級限值3520(個/m3 )。 在3 號和9號采樣點,盡管這兩點的平均粒子濃度符合表1中規定的限值,但是每個點各有一次采樣的粒子濃度數據超出了表1中所規定的限值。由于4號采樣點的粒子濃度不符合潔凈度要求,因此該潔凈室按粒子濃度劃分的空氣潔凈度未達到所要求的ISO 等級。
B.5 示例5
B.5.1 某個潔凈室占地面積10.7 m2,潔凈度級別規定為動態ISO7.5級,使用采樣流量為28.3L/min的離散粒子計數器進行分級測試。 關注粒徑只有一個(D≥0.5μm)。
查表 A.1,采樣點數NL 取6。
B.5.2 從表E.1查得ISO7.5級的粒子濃度限值為:
B.5.3 從公式(A.2)可算出所要求的單次采樣量為:
算出的單次采樣量為0.01799L。由于所用的28.3L/min離散粒子計數器1min的采樣量符合要求(見A.4.4),所以將28.3L 即作為每個單次采樣的采樣量。
B.5.4 每個點進行的單次采樣次數為1 次~3 次。每個采樣點每立方米的粒子數(濃度)xi 的計算如表B.6所示。
表 B.6 ≥0.5 μm 粒子的采樣數據

B.5.5 在4 號采樣點,第三次采樣的濃度1222507 個/m3 (34632 ×35.3)超出了ISO7.5 級限值1110000(個/m3)。可是并不要求每個單次采樣的粒子濃度都符合表1 中所規定的限值。由于各采樣點的平均粒子濃度要符合表1中所規定的限值要求,因此該潔凈室按粒子濃度劃分的空氣潔凈度達到所要求的ISO 等級。
附 錄 C
(資料性)
懸浮大粒子的計數和測徑
C.1 原理
某些情況下,特別是與特定的工藝要求有關的情況下,可依據表列等級粒徑范圍之外的粒子總體,規定空氣潔凈度。用戶和供應商應就這類粒子的最大允許濃度和驗證的檢測方法等問題達成一致。C.2中給出了有關檢測方法的要點以及規定的技術表述格式。
C.2 大于5μm粒子(大粒子)———M 描述符
C.2.1 應用
如果要評定大于5μm 的粒子造成的污染風險,宜采用適合于這類粒子具體特性的采樣裝置和測量程序。
閾值粒徑分布在5μm~20μm 的懸浮粒子濃度的測量,可在三種規定狀態(空態、靜態和動態)下進行。
空氣懸浮粒子總體中的大粒子主要是工藝環境中釋放出的粒子。宜根據具體的應用情況來確定適用的采樣裝置和測量程序。需要考慮的因素有粒子的密度、形狀、體積和空氣動力學特性,也有可能需要側重于整個懸浮粒子總體中如纖維等的特殊成分。
C.2.2 M 描述符的格式
描述符既可單獨引用,也可當作按粒子濃度劃分的空氣潔凈度級別的補充信息。
描述符的格式表示為: “ISO M(a;b);c”
其中:
a——— 大粒子的最大允許濃度(以每立方米中大粒子數目表示);
b——— 與測量大粒子的規定方法相關的當量直徑(或直徑)(以微米表示);
c——— 規定的測量方法。
示例1:使用光散射塵埃粒子計數器(LSAPC)進行測量,粒徑范圍為≥5μm 的懸浮粒子濃度為29p/m3 ,則其描述符寫為“ISO M(29;≥5μm);LSAPC”。
示例2:使用氣溶膠粒子飛行時間計數器測定粒子的空氣動力學直徑,粒徑范圍為>10μm 的懸浮粒子濃度為 2500p/m3 ,則其描述符寫為“ISOM(2500;≥10μm),氣溶膠粒子飛行時間計數器”。
示例3:使用串級撞擊取樣器,然后再用顯微法測徑并計數,粒徑范圍為10μm~20μm 的懸浮粒子的濃度為1000p/m3 ,則其描述符寫為“ISO M(1000;10μm~20μm),串級撞擊器,顯微法測徑并計數”。
注1:如采樣的懸浮粒子中含有纖維,則可以向 M 描述符增加一個單獨的纖維描述符,表示格式為“Mfiber(a;b;);c”。
注2:IEST-G-CC1003[4]中給出了檢測大于5μm 懸浮粒子濃度的合適方法。
C.3 懸浮大粒子的計數
C.3.1 原理
這些檢測方法表述了如何對粒徑閾值大于5μm 的粒子(大粒子)進行測量。C.3 中所述的測量步驟引自IEST-G-CC1003:1999[4]。測量可在潔凈室或潔凈區的空態、靜態或動態中的任意狀態下進行。
測量是為了確定大粒子濃度,5.1,5.2和5.4的原則可適用。要強調樣本的采集和處理要得當,以盡量減少樣本中大粒子的損失。
C.3.2 通則
采樣點數量、位置選擇和所需的數據量宜符合表 A.1中的要求。對于大粒子的最大允許濃度、顆粒的當量直徑和測量方法的指定,客戶和供應商宜達成一致。也可根據客戶和供應商之間的協議,使用其他能提供等效數據和等效精度的方法。如果沒有其他議定的方法,或在有爭議的情況下,宜使用本附錄中的基準方法。
C.3.3 樣品處理注意事項
當處置大粒子時,需要當心樣本的采集和處理。IEST-G-CC1003:1999[4]中,對未用等動力采樣或非等動力采樣將粒子輸送到測量點的系統方面的要求有完整的述說。
C.3.4 大粒子的測量方法
大粒子的測量方法有兩大類。不同的測量方法所得到的結果不能比較。同樣,不同方法之間也不存在相關性。C.3.4.1和C.3.4.2中對不同方法以及相應方法下的粒徑信息作了概述。
C.3.4.1 原位測量
使用粒子飛行時間計數器或光散射粒子計數器(LSAPC)對大粒子的濃度和粒徑進行原位測量:
a) LSAPC 測量(C.4.1.2)給出的大粒子粒徑依據的是其當量光學直徑;
b) 粒子飛行時間計數器測量(C.4.1.3)給出的大粒子粒徑依據的是其空氣動力學直徑。 C.3.4.2 采樣
用過濾或慣性效應進行粒子采集,然后用顯微鏡測量所采集粒子的數量和尺寸:
a) 過濾器采集加顯微測量(C.4.2.2)測出的大粒子是以商定粒徑為準的;
b) 串級撞擊器采集加顯微測量(C.4.2.3)測出的大粒子是以所選的報告粒徑為準的。
C.4 大粒子的測量方法
C.4.1 無粒子采集的大粒子測量方法
C.4.1.1 通則
不從空氣中采集的粒子也能測量大粒子。此過程包括對懸浮在空氣中的顆粒的光學測量。空氣樣本以特定流率通過光散射粒子計數器(LSAPC)時,該儀器可測量粒子的光學當量直徑或其空氣動力學直徑。
C.4.1.2 光散射粒子計數器(LSAPC)測量
使用LSAPC測量大粒子與附錄A 中懸浮粒子計數測量的程序相同,僅有一點例外。例外的是因只測大粒子的數據,所以在此情況下對LSAPC 粒徑小于1μm 的粒子沒有靈敏度要求。 需要注意確保在每一采樣點上LSAPC 都是直接對空氣進行采樣的。LSAPC 的采樣流量不小于28.3L/min 且宜配備在單向流區域中進行等動力采樣的探頭尺寸。在非單向流區域,采樣探頭入風口垂直向上。
采樣探頭宜選擇能在單向流區域進行近似等動力采樣的探頭。如不能滿足此條件,則采樣探頭的入風口朝向氣流的主要方向;在氣流不受控或不可預測的區域(如非單向流),采樣探頭入風口垂直向上。采樣探頭與LSAPC 傳感器之間的連接管長度越短越好。采集對于粒徑≥1μm 粒子的樣本,采樣管的長度和直徑不宜超過生產廠商建議的尺寸,其長度一般不超過1 m。
宜盡量減少因大粒子損失造成的采樣系統采樣誤差。
將LSAPC 的粒徑范圍設置為只檢測大粒子,同時還宜記錄一個粒徑
C.4.1.3 飛行時間粒徑測量
測量大粒子的尺寸可用飛行時間測定儀。空氣樣本被儀器吸入后,經噴嘴在半真空的測量區膨脹加速。在測量區內,空氣樣本中的任何粒子都會和空氣一起被加速。粒子的加速度與其質量成反比。在測量點處利用空氣流速和粒子速度間的關系,可用以確定粒子的空氣動力學直徑。知道測量區的壓力和周圍環境空氣的壓力差,就可直接計算出空氣流速。粒子速度則是通過其在兩束激光之間的飛行時間確定的。 飛行時間測定儀可測量的空氣動力學直徑至20μm,樣本采集方法與使用 LSAPC測量大粒子的方法相同。另外,確定報告的粒徑范圍,該儀器也采用與LSAPC 同樣的方法。
C.4.2 有粒子采集的大粒子測量方法
C.4.2.1 通則
可從空氣中采集粒子進行大粒子測量。空氣樣本以規定的流量傳送到收集裝置中。使用顯微分析法對收集的粒子計數。
注:也可測定所采集的粒子的質量,因為空氣潔凈度是按數量濃度決定的,所以本文件不涉及此項。
C.4.2.2 過濾器采集和顯微測量
選擇一種膜過濾器及夾具或一個預組裝的氣溶膠監測儀;膜宜使用2μm 或更小孔徑的。 在過濾器支架上貼上標簽以識別支架位置及設施。將出口與真空相連并按所需流量吸出空氣。如果大粒子的采樣點是在單向流區域,宜按滿足膜過濾器或氣溶膠監測儀入風口的等動力采樣,且入口面向單向流。
使用公式(C.1)確定所需的采樣量。
從過濾器夾具上或氣溶膠監測儀上取下蓋子并存放在潔凈處。在客戶和供應商議定的采樣點上進行空氣采樣。如果使用便攜式真空泵將空氣抽通過薄膜過濾器,泵的排氣宜經過一個合適的過濾器后排放或者排放到潔凈設施外。采樣完成后,將“濾膜夾”或氣溶膠監測儀的蓋子蓋回原位。樣本夾具的運輸方式宜使濾膜在任何時候都保持在水平位置,且樣本從捕獲到分析的時間段內,不會受到振動或沖擊。對過濾器表面的顆粒進行計數(見 ASTM F312-08[3])。
C.4.2.3 用串級撞擊器采集和測量
在串級撞擊器中通過粒子的慣性碰撞實現粒子的分離。采樣氣流通過一系列孔徑漸小的噴嘴,較大的粒子直接沉積在最大孔徑之下,較小的粒子則逐次沉積在撞擊器的各級。空氣動力學直徑直接與沖擊流路中粒子采集區域相關。
此種類型的大粒子采集和計數的串級撞擊器,可用于按粒子濃度劃分的空氣潔凈度測量。在此情況下,粒子光沉積在可移動板的表面上,隨后可進行顯微鏡檢測。這種串級撞擊器,通常使用0.47L/s或更大的采樣流量。
C.5 大粒子計數步驟
測定客戶和供應商所商定粒徑范圍粒子濃度“ISO M(a;b);c”,并報告數據。
在每個采樣點,空氣采樣量保證至少能檢測出選定粒徑粒子濃度限值內所需的20顆粒子。
每個采樣點的單次采樣量VS 由公式(C.1)確定。
如需要大粒子濃度的穩定性信息,以客戶和供應商之間約定的時間間隔,在選定的位置進行三次或
更多次的測量。
放置好所選儀器的采樣探頭并進行試驗。
C.6 大粒子采樣的檢測報告
檢測報告記錄下列檢測信息和數據:
儀器對粒子尺寸產生響應的定義;
測量方法;
M 描述符作為ISO 級別的補充說明,其水平或限值的測量方法; d) 所用的每個檢測儀和設備的型號和校準狀態; e) 設施的ISO 等級;
大粒子粒徑范圍和所記錄各粒徑范圍的數量;
儀器入風口采樣流量和通過傳感器的流量;
采樣點位置;
分級采樣方案或檢測采樣方案;
占用狀態;
與測量有關的其他數據,如大粒子濃度的穩定性。
C.7 用大粒子描述符說明ISO5級潔凈室中粒徑≥5μm的粒子
用LSAPC 測量粒徑≥5μm 懸浮粒子的濃度為29p/m3,其表述形式為“ISO M(29;≥5μm); LSAPC”,為20p/m3 時,其表述形式為“ISO M(20;≥5μm);LSAPC”(見表1,腳注f)。
附錄 D
(資料性)
序貫采樣法
D.1 背景和局限
D.1.1 背景
對于某些以很低的粒子濃度限值進行潔凈度分級的潔凈受控環境,序貫采樣是非常適用的技術,它可減少采樣量和采樣時間。序貫采樣技術可以測量計數速率并可能預測出符合或不符合ISO 等級要求。如果被采空氣明顯地好于或明顯地差于規定級別關注粒徑的濃度限值時,序貫抽樣法通常可大幅度減少采樣量和采樣時間。
即使濃度接近規定限值的,也有一定作用。序貫采樣法最適合于空氣潔凈度期望達到ISO4級或更好的潔凈環境,也適用于關注粒徑的粒子濃度限值很低時的潔凈度級別。這種情況下,可能需要很大的采樣量才能測到所預期的20顆粒子計數。
注:有關序貫采樣法的更多資料,見IEST-G-CC1004[5]或JISB9920:2002[6]。
D.1.2 局限
序貫抽樣法的主要局限有:
a) 只有當最大粒徑粒子單次采樣的預期計數
D.2 序貫采樣法的依據
此方法基于實時累積粒子計數與參照計數值的比較。參照數值由上、下邊界限值的求值公式得出公式(D.1)的公式(D.2)。
根據公式(A.2),單次采樣量VS 可按公式(D.3)計算。
總采樣時間tt 計算見公式(D.4)。
預期計數由公式(D.5)確定。
為了便于理解,圖D.1給出了序貫采樣法的圖解。在每個點進行空氣采樣時,計數中的粒子總數要與規定總采樣量相應比例體積的預期計數不斷進行比較。當計數中的粒子總數少于相應預期計數的下限值Cpass時,被采樣空氣達到指定等級或濃度限值要求,停止采樣。
當計數大于預期計數的上限值Cpass時,被測環境不符合指定等級或濃度限值的要求,停止采樣。當實測計數值保持在上下限之間,采樣將持續到實測計數達到20,或者累積采樣量V 與最小采樣量VS相同時,此時預期計數成為20。
在圖D.1中畫出了在采樣既未停止、實測計數也未達到20時,實測計數值C 與預期計數E 之間的關系。
D.3 采樣規程
圖D.1 繪制出公式(Dl.)和公式(D.2)設定的邊界線,這兩條邊界線在限值E=20 處截止,代表采集一個完整樣本所需的時間,而C=20則為允許的最大實測計數。

圖D.1 按序貫采樣法合格與不合格的邊界線
圖D.1中準確的畫出處在規定級別限值的空氣粒子濃度的預期值與實測計數值間的關系。對應于時間流逝的是計數預期值的增加。如果粒子濃度處于級別限值濃度,E=20代表的就是累積到全樣本采樣量所需的時間。
依據圖D.1,序貫采樣法的步驟如下:
a) 按操作時間記錄粒子總數;
b) 計算公式(D.5)中描述的預期計數;
c) 如圖 D.1 所示,繪制總計數與預期值之間的關系; d) 比較計數與圖 D.1 中的上限和下限;
e) 如果累積實測計數穿過上限,在該點停止采樣,認為空氣不符合規定的等級限值; f) 如果累積實測計數穿過下限,在該點停止采樣,認為空氣符合規定的等級限值;
g) 如果累積實測計數保持在上限與下限之間,采樣將繼續進行,如果在規定的采樣周期內,總計數達到或小于20,并且未穿過上限,則空氣符合指定級別的限值。
D.4 序貫采樣示例
D.4.1 示例1
a) 使用序貫采樣法評估一個目標潔凈度為ISO3 級(0.1μm,1000p/m3)的潔凈室。此方法可以觀測計數速率,并預測是否符合要求。
注:粒子計數器的采樣流量為0.0283 m3/min(28.3L/min或0.47L/s)。
b) 測量前的準備——— 限值計算方法。
表D.1列出了計算結果。首先,預期計數是通過采樣時間進行計算的。其次,上限相關計數和下限相關計數是通過公式(D.1)和公式(D.2),或圖D.1計算得來的。
表D.1 上限和下限相關計數的計算列表

c) 使用序貫采樣法的計算。
第一次測量時的預期計數為2.4;當實測計數大于或等于7時,結果判定為“不合格”。然而,當該采樣周期的實測計數處在和6之間時,不能對結果做出判定。這種情況下將繼續采樣。隨采樣的繼續,累積的實測計數會增加,直至達到規定的單次采樣量或者實測計數穿越Cpass或Cfail兩條線中的某一條時,才停止采樣。 如果在規定的采樣周期內,總計數達到或小于20,且未穿越上限,則空氣潔凈度級別測定結果判為“符合”要求。如果在完整采樣周期結束前,累積實測計數小于或等于Cpass的取整值,則此時停止采樣,級別測定結果判為“符合”要求。
D.4.2 示例2
使用序貫采樣法對一個目標潔凈度為ISO3 級(0.5μm,35p/m3)的潔凈室進行評估。 粒子計數器的采樣流量(Q)為0.0283 m3/min(28.3L/min或0.47L/s)。
根據公式(D.3)計算單次采樣體積VS。
根據公式(D.4) 計算總采樣時間tt 。這評估的是采樣點所需的最長采樣時間, 使用序貫采樣法可以縮短這個時間。
計算結果列表:
1) 根據公式(D.5) 計算預期計數E ;
2) 根據公式(D. .1) 和公式(D.2) 計算實測計數的上限和下限;
3) 計算結果如表 D.2 和圖 D.2 所示。
表 D.2 總采樣量、 預期計數、 上限和下限的計算結果

在圖 D.2 中畫出了實測計數的上下限與計數獲取時間之間的關系。其所在列表示的是在1 min 的時間間隔內的限值(上限和下限)。

圖D.2 序貫采樣法中合格與不合格邊線圖形
使用表D.3中的步驟對累積實測計數和上下限進行比較。
a) 不合格要求的情形如表D.3 所示。
表 D.3 序貫采樣粒子計數舉例
第一次測量時的預期計數為1.0;當實測計數大于或等于5時,累積實測計數判定為“不合格”。采樣周期的觀察計數在和5之間時,不能對結果做出判定。在本示例中,繼續采樣。只要采樣繼續,累積的實測計數就會增加。但是,由于預期計數和相關計數都在增加,所以很容易進行判斷。在第5次測量(t=300s)時,累積實測計數為11,超過了上限值(10),于是判定為“不合格”。
b) 符合要求的情形如表D.4 所示。
表 D.4 序貫采樣粒子計數舉例
第一次測量時的預期計數為1.0;當實測計數大于或等于5時,累積實測計數判定為“不合格”。然而,當在這次采樣周期的觀察計數在和5之間時,不能對結果做出判定。在本例中,繼續采樣,但是累積的實測計數并未增加。在第4 次測量(t=240s)時,累積實測計數為0,等于下限值(0),于是結果判定為“合格”。
附 錄 E
(資料性)
非整數潔凈度等級和粒徑閾值的說明
E.1 非整數潔凈度等級
需要非整數潔凈度等級的宜使用表E.1。
表E.1給出了所允許的非整數潔凈度等級。粒子測量上存在的不確定性使得級別增加不宜低于0.5,表中的腳注說明了由于采樣和粒子采集的局限性而帶來的限制條件。
表E.1 粒子濃度的非整數潔凈度等級

表中所有濃度都是累積濃度,例如ISO5.5 級,0.5μm 粒徑的11100 顆中,包括所有粒徑大于或等于該粒徑的粒子。
對這些濃度需進行大量的空氣采樣才能用于分級。可以使用序貫采樣法;見附錄D。
由于粒子濃度太高,表格的這一區域濃度限值不適用。
由于低濃度時粒子采樣和統計的局限性,此區域分級不適用。
由于采樣系統可能的粒子損失和樣本收集的局限性,使得低濃度和粒徑大于1μm 時對該粒徑進行的分級不適用。
該級別只適用于動態。
E.2 中間粒徑
對任何整數或小數等級的非表列粒徑有要求的,可使用公式(E.1)計算該關注粒徑的最大允許粒子濃度。
附錄 F
(資料性)
檢測儀器
F.1 說明
本附錄描述了附錄 A、附錄C 和附錄D 中的檢測所宜使用的測量儀器。
在本附錄中,表F.1和表F.2中給出了每款儀器的基本要求。測量儀器的選用遵從用戶和供應商之間的協議。
本附錄是資料性的,且不宜妨礙有更好儀器時對更好儀器的使用。其他檢測儀可能也是適合的,可依據需方和供方之間的協議使用。
F.2 儀器技術要求
附錄 A、附錄C 和附錄D 中提到的檢測宜使用下列測量儀:
光散射(離散)粒子計數器(LSAPC);
注:LSAPC 的規格參數由GB/T29024.4—2017給出。
離散大粒子計數器;
飛行時間測徑儀;
用濾紙采集粒子的顯微測量。見 ASTM F312-08[3]。
這些儀器的術語和定義已在第3章中給出。
表F.1 離散大粒子計數器的技術要求
表F.2 飛行時間測徑儀的技術要
來源:GMP辦公室、制藥生產技術
- 上一篇:室外空氣百分比的計算與使用(下)
- 下一篇:粒子計數器計量院校準VS原廠校準
















網站首頁
產品中心
新聞資訊
一鍵撥打